إرشادات مقترحات البحث معلومات خط الزمن الفهارس الخرائط الصور الوثائق الأقسام

مقاتل من الصحراء
Home Page / الأقســام / موضوعات علمية / الأرقام





لوحة الأعداد
وثيقة اكتشفت في العراق
أقدم الأرقام العربية
الرسوم المختلفة للصفر
الزوايا في الأرقام العربية
العصا الإنجليزية
استخدام الأصابع في العدّ
عد النقود




الفصل الأول

خامساً: التحويل من نظام إلى آخر

يمكن التحويل من نظام إلى آخر بسهولة، وخاصة إلى النظام العشري. على سبيل المثال:

837    =    [3×(8)] + [7×(1)] =    24 + 7      = 31

7126  =    [1×(7×7)] + [4×(7)] + [6×(1)]      =  49 + 28 + 6 = 83

وعند تحويل عدد من النظام العشري إلى عدد من نظام آخر، يتم ذلك بطريقة طبيعية بتطبيق الأفكار الأساسية لقيمة المكان. ومن أمثلة ذلك:

مثال 1: نفترض أننا نريد تحويل العدد 19 من النظام العشري إلى نظام ثنائي، لاحظ أولاً أن:

2 × 2 × 2 × 2          = 16 أقل من 19

و 19 أقل من 2 × 2 × 2 × 2 × 2     = 32

   19 

- 16

 3 أي أن 19 = [1×(2 × 2 × 2 × 2 × 2)] + 3

لاحظ الآن أن

3 = [1×(2)] + [1×(1)]

وهكذا فإن 19 = [1×(2 × 2 × 2 × 2 × 2)] + [0×(2 × 2 × 2)] + [0×(2 × 2)]  + [1×(2)] + [1×(1)] = 10011 اثنين

مثال 2: تحويل العدد 67 نظام عشري إلى عدد نظام خماسي

لاحظ أن: 5×5 (= 25) أقل من 67  و67 أقل من 5×5×5 (=125)

   67

- 25

  42

- 25 

 17

أي أن 67 = [2 × (5×5)] + 17

لاحظ الآن أن   5 أقل من 17  و 17 أقل من 5×5 (=25)

    17

-  5 

   12

-  5  

   7

-  5 

   2

أي أن 17 = [3×(5)] + [2×(1)] = 32 خمسة

إذا    67 =  [2 × (5×5)] + [3×(5)] + [2×(1)] = 232 خمسة

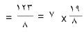
مثال 3: تحويل العدد 587 من النظام العشري إلى النظام الإثني عشر.

لاحظ أن 12×12 (=144) أقل من 587

و 587 أقل من 12×12×12 (=1728)

       4        

نقسم    587/ 144

     579

     11

وهكذا 587 = [4 × (12×12)] + 11

تذكر أن 11 = إ اثنا عشر

وهكذا  587 = [4× (12×12)] + [0×(12)] + [إ × 1] = 40إ اثنا عشر

وتذكر أن:

(أ) 365 اثنا عشر          = 509

(ب) 11010110 اثنين   = 214

(ج) 11010110  اثنين  = 1324 خمسة

(د) 424  سبعة        = 1324 خمسة

سادساً: الشعوب القديمة، وتسجيل الأعداد

    تتابعت البحوث الأثرية، في تاريخ تسجيل الأعداد، بحثاً في كهوف إنسان قبل التاريخ، في أوروبا وأفريقيا وآسيا. ترجع أقدم التسجيلات إلى قدماء المصريين، وقدماء السومريين والبابليين، والصينيين، أي إلى 3500 ق.م. وعند فحص هذه التسجيلات، نفاجأ بالشبه الكبير في المبادئ، التي استخدموها، ولا شك أنه كانت هناك وسائل اتصال ما بين هؤلاء القدماء، رغم بُعد المسافات، التي تفصل بينهم. ولقد طوَّروا وسائل العد عندهم، باستخدام أسهل الأساليب (أُنظر شكل لوحة الأعداد)، من الحصى، إلى الأصابع، إلى العصا ذات الحزّات، وهي علامات تمثل الأعداد إلى 9، ثم علامات أخرى للدلالة على العشرات، والمئات. ولعل عصا العد الإنجليزية ـ التي لا يُعرف أصلها تحديداً ـ ترجع إلى تلك العصور. وكانت كل حزَّة من الحزات الصغيرة تمثل جنيهاً إنجليزياً، والحزَّة الكبيرة تمثِّل 10 جنيهات، والأكبر منها تمثل 100 جنيها، وهكذا، ومن العجيب أن هذه العصا الإنجليزية ظلَّت تُستخدم، عدة قرون، بعد ظهور نظام العد الحديث، مما كان يثير ضيق وتبرُم عدد كبير من المثقفين الإنجليز[2]. ومع ذلك ظلت تلك العصا تُستخدم إلى عام 1826، وقد عثر في عام 1834 على مجموعات كبيرة منها (أُنظر شكل العصا الإنجليزية).

1. حريق في مجلس اللوردات والعموم

    صدر الأمر من مجلس اللوردات، ومجلس العموم، بحرق مخازن العصى سراً، في فرن خاص، ملحق بمجلس اللوردات، وعندما تم الحرق، زادت النيران، وامتدت ألسنة اللهب إلى مبنيي المجلسين، فأتت عليهما، ومن ثم بدأ تشييد مبنيين جديدين، ويقول تشارلز ديكينز: "وقد أنفقنا الآن نحو مليونين تكلفة لذلك"!

2. آلات حاسبة قديمة

    تنوعت الأدوات القديمة، غير العصى؛ فكانت أحياناً مجرد خطوط تُرسم على الرمال، أو على لوحة للعدّ تُرسم عليها علامات بمادة تشبه الطباشير، أو إطار خشبي به أسلاك، عليها خرزات ملونة، وغير ملونة. كان السلك الأول من اليمين يمثل الآحاد، والثاني يمثل العشرات، وما يليه يمثل المئات، وهكذا. ويمكن كتابة أي عدد على هذا "العداد" باستخدام الخرزات على الأسلاك؛ فالعدد 6017 يمكن تمثيله بوضع 7 خرزات على سلك الآحاد، وخرزة واحدة على العشرات، ويُترك سلك المئات خالياً، و6 خرزات على سلك الآلاف. كما استخدم العداد في إجراء العمليات الحسابية؛ ففي حالة الجمع تُحسب الخرزات التي على كل سلك. وكلما تجمعت عشرة منها على أحد الأسلاك تُؤخذ، وتُوضع بدلاً منها خرزة واحدة على السلك الذي يليه، من جهة اليسار. وما زال بعض الصينيين واليابانيين يستخدمون نوعاً صغيراً من العداد في جميع معاملاتهم التجارية، وهم يجرون به العمليات العددية المختلفة بسرعة كبيرة، وسهولة تامة.

3. الحساب ونشأته

    وثمة صعوبة كبيرة في تتبع بداية علم الحساب، وتطوره، وليس، بين ثنايا التاريخ، سجل واضح محدَّد يهدينا لبداية علم الحساب، ونشأته، وتطوره، أو يقدم لنا أسماء معينة، كان لها الفضل في اختراعه. وكل ما في الأمر، أن أقدم سجلات التاريخ كشفت لنا عن نظم عددية معينة، ولكنها لم تحدد مراحل تطورها، أو تكشف لنا عن أصل كلٍ منها؛ أي أننا، إذا تصفَّحنا قصة الأعداد، وقسَّمناها إلى أجزاء، فإننا لا نجد شخصاً معيناً، في يوم معلوم، ومكان معلوم، قد اخترع أداة التفكير العددي، التي نستخدمها الآن.

    تحدثنا صفحات التاريخ عن نظم عددية مختلفة، ارتبط كلٌ منها بحضارة من الحضارات القديمة، إلا أن كلاً من هذه الحضارات كانت تضع لبنة، أو لبنات في بناء هيكل علم الحساب، إلى أن تميَّز النظام العددي، الذي ساد العالم المتحضر، بل أصبح لغة عالمية واحدة، لم تصل اللغات بعد إلى ما يشبهها.

    كان للشعوب البدائية عدة طرق لتسجيل الأعداد القليلة التي يحتاجونها. كان بإمكان الراعي أن يجمع عدد الخراف في القطيع بحيث تمثل الحصاة الواحدة خروفاً واحداً. وكان الكيس من الحصى يعني كامل القطيع. وبمقارنة الحصى مع القطيع، يتمكن الراعي من معرفة إن كان أحد الخراف مفقوداً. ويطلق علماء الرياضيات على هذا النوع من المقارنة علاقة واحد إلى واحد.

    وفيما بعد طور الناس طرقاً أخرى لتسجيل أعداد الأشياء التي يمتلكونها، فقاموا بربط عقد في حبل جلدي أو قاموا بخدش علامة تسجيل على جانب صخرة، ومن ثم قاموا بمقارنة العقد أو العلامات مع كل شيء على حدة. ثم لجأ الناس إلى استخدام الكلمات للتعبير عن شيئين، وللتعبير عن أربعة أشياء استخدموا اسم فاكهة تنمو في عنقود من أربع ثمرات. واستخدموا كلمة يد للتعبير عن 5 أشياء. وقد ظهرت هذه العلاقة بين الأعداد والأسماء في لغات بدائية عديدة حيث أثبتت بداية تفكير الناس في الأعداد. لقد ميزوا فكرة الثلاثية لمجموعة تحتوي على ثلاثة أشياء سواءً كانت هذه الأشياء سمكاً أو حصى أو علامات تسجيل.

    وأخيراً، شرع الناس في العد عن طريق وضع الأسماء الممثلة للأرقام في ترتيب معين، فنطقوا أو كتبوا الكلمة التي تعني واحداً ثم الكلمة التي تعني اثنين، ثم الكلمة التي تعني ثلاثة، وهكذا.

    ومع مرور الوقت، طورت الشعوب في أنحاء مختلفة من العالم أنواعاً عديدة من أنظمة العد، بعضها اعتمد على الخمسة كأساس، وبعضها على العشرة، بل إن بعضها اعتمد كأساس على الاثني عشر أو الستين. وما زلنا إلى يومنا هذا نستخدم بعض هذه القياسات المأخوذة من هذه الأنظمة مثل الـ 12 بوصة في القدم، والـ 60 دقيقة في الساعة.

    وفي معظم أنظمة الترقيم القديمة، كان الناس يصيغون الأعداد بمجرد تكرار الرموز الأساسية، وإضافة قيمها ليحصلوا على العدد المطلوب. وقد اتبع المصريون والإغريق والرومانيون أنظمة عدّ من هذا القبيل. أمّا العرب فقد اتبعوا نظاماً للترقيم متفوقاً على سائر الأنظمة الأخرى، وهذا النظام اعتمد على مبدأ قيمة الخانة واستخدموا رمزاً يعني لا شيء أو الصفر. وأصبح هذا النظام نظام العد العشري المتبع في معظم أنحاء العالم.

سابعاً: أهمية علم الحساب

    علم الحساب له من الأهمية ما يجعل تاريخه ذا قيمة كبرى، لأنه، لولا ذلك العلم، لظل القدماء في جهل مطبق، ينظرون في بله إلى ظواهر الطبيعة، ولظل القدماء عاجزين عن أن يعيِّنوا الحدود الفاصلة، بين بعضهم البعض، ولظلت طريقتهم، في تسوية خلافاتهم، طريقة بدائية هي طريقة الحرب والقوة، ولولا ذلك العلم، لما سجَّل الإنسان حوادث الزمن، ولما وُجدت التقويمات والنقود والضرائب، ولما تقدم علم الفلك، أو الملاحة، أو وسائل القياس، أو غيرها من العلوم الحديثة.

ونتناول، فيما يلي، الرموز القديمة، التي تخص الأعداد، في بعض الحضارات القديمة:

1. الأعداد عند قدماء المصريين

بدأت الحضارة المصرية في حوالي الألف الرابع، قبل الميلاد، وبدأ المصريون يستخدمون رموزاً للأعداد بالخط الهيروغليفي في حوالي عام 3400 ق.م.

وتمثِّل هذه الرموز الأعداد 1، 10، 100، 1000، 10000، والمليون، أي استخدموا النظام العشري، الذي سبق بيانه، وسجلوا ذلك على الجدران، والأحجار، ثم بعد ذلك استخدموا الخط الديموطيقي[3]. وقد استمد المصريون رموزهم من بيئتهم، فجعلوا الواحد خطاً قائماً 1، والاثنين خطين (11)، إلى تسعة، وجعلوا العشرة باباً مقنطراً ضيقاً، والمائة جزءاً من سلسلة مقياس النيل، والألف عبارة عن زهرة اللوتس، والعشرة آلاف عبارة عن صورة الإصبع، والمائة ألف عبارة عن صورة الضفدع الصغير، وجعلوا العلامة الدالة على المليون رجلاً رفع يديه يتعجب من هذا الشيء الكثير.

وكانوا يكررون كتابة الرموز، فكانوا يكتبون من اليمين إلى اليسار، أو من اليسار إلى اليمين، أو رأسياً من أعلى إلى أسفل. ويسير ترتيب الأرقام من الأصغر إلى الأكبر، فقد ذُكر في إحدى اللوحات الأثرية 123440 رأساً من الماشية، و 223400 حماراً، و 232413 رأساً من الماعز، و 243688 رأساً من الغنم.

أما النظام الذي استخدموه، فهو نظام التجميع البسيط؛ فيكررون الرموز عدداً من المرات لا يزيد على تسعة، ثم ينتقلون بعد ذلك إلى الرمز الذي يليه، فإذا أرادوا كتابة الرقم 13546 مثلا؛ً فإنهم يذكرون الرمز الدال على العشرة آلاف، ثم يكررون رمز الألف ثلاث مرات، ثم رمز المئات خمس مرات، ثم رمز العشرات أربع مرات، ثم رمز الواحد ست مرات، وهكذا.

وليس هناك من ريب في أن مقتضيات الحياة في مصر وجهود المصريين في حل المشاكل المتصلة ببيئتهم، وحرصهم الشديد على ذلك، أوجب ضرورة معرفة الحساب من أجل تنظيم مياه النيل، وقياسها، وضبطها، وتحديد مواسم الزراعة والحصاد، وأعمال المقايضة، والتجارة، وجمع الضرائب العينية، وتقدير أبعاد الأراضي الزراعية، ومساحاتها عند بيعها، وتأجيرها، وتقسيمها، حسب توجيهات الدولة، وتنفيذ المشروعات العامة، كتنفيذ عمليات حفر القنوات، وبناء الأهرامات، وما يتطلبه ذلك من تحديد أعداد العمال، وكميات الطعام اللازمة لهم، والوقت الذي سيستغرقه العمل، وما إلى ذلك، كتغيير حدود الأرض الزراعية بعد موسم الفيضان، فمثلاً إذا ما طاف طائف من الفيضان فأزال حدود الحقل، فإنه لا يمكن إعادتها إلى ما كانت عليه على وجه محقق، إلا إذا كان المرء يعرف مقاييسه بدقة. كما استعمل المصريون الحساب في مسائل تتعلق بأحوالهم المعيشية، في بيوتهم، كعمل الجعة (أي البيرة)، أو مشروب الشعير، والخبز، وتكاليف صنع الحلى.

ومن الجدير بالذكر، في هذا الصدد، ما فعله الفرعون أمنمحات الأول (1991 ـ 1962 ق.م)، حين أرسى سياسة جديدة بين أفراد الأقاليم، منعت التنافس بينهم، وذلك عن طريق إقامة حدود ثابتة بين كل إقليم وآخر، كما سن قانوناً نظَّم به نصيب كل إقليم من مياه النيل الخاصة بريِّ الأرض الزراعية، كما عيَّن تبعية كل قناة بمفردها. وجاء في القرار، الذي أعلنه:

"إن جلالته اعتمد ما هو موجود في السجلات القديمة، وما هو مقرر في النصوص القديمة". وهذا يعني، أنه منذ عهد الدولة القديمة، كانت حدود الأقاليم ثابتة، ومدونة، ويعني بالتالي افتراض وجود سجلات زراعية لأراضي المدن المختلفة، ومناطقها. كما حدد "أمنمحات الأول" كمية المواد الغذائية، التي يتعيَّن على كل إقليم، أن يقدمها، وعدد السفن اللازمة للأسطول، وأعداد أفراد القوات، فقد كان أمراء الأقاليم مكلفين بحشد الجنود الذين يشكلون الجزء الأكبر من القوات المسلحة.

وكان يدخل ضمن إطار الواجبات، الملقاة على عاتق المشرفين على الحقول التابعة للمعابد، ومخازن الغلال، متابعة مقاييس، ومساحة الأراضي التابعة للمعابد. ويظهر على الجدران صور لرئيس الكهنة ممسكاً بعصا طويلة في إحدى يديه، وفي الأخرى أداة الكتابة، يشرف على عملية القياس التي يقوم بها اثنان من العمال، معهما شريط قياس، يصل طوله إلى مائة ذراع، مقسَّم إلى أجزاء باستخدام عقد في أجزاء معينة، لابد وأن تكون إدارة معابد آمون قد تأكدت من صحة قياسها، ودقته.

ومن الجدير بالذكر، كذلك، أن الكهنة لجأوا إلى طريقة يسجلون بها كميات السلع التي يتبادلونها؛ فبدأوا باستخدام وحدات مثل: "سلة من الغلال"، أو "جرة من الخمر"، أو "قطعة من قماش". ثم بعد ذلك، اختاروا الوزن، وكان الميزان على شكل عمود يُحمل على الكتف، ويتدلى ثقل من كلٍ من طرفيه. ولما كان من الضروري تسجيل أعداد الأشياء لتقدير رؤوس الماشية، أو سلال الحبوب، بدأوا بحفر حزَّات على سطح عصا، ثم توصلوا إلى رموز الأعداد، واستخدموا النظام العشري، كما استخدموا العد على الأصابع كذلك، وقد جاء في أحد النصوص، التي عثر عليها في منطقة الأهرامات، أن روح شيطان تحدت فرعونا مصرياً أن يعد أصابعه، ويعرف عددها الصحيح. ثم تطور الأمر إلى استخدام الأحجار في العد، وبعد ذلك، استعاضوا عن الأحجار بالحبات التي تُصَّف كل عشرة منها على سلك، ممثلة بذلك أول آلة حاسبة معداداً، وأخذوا يجرون عمليات الجمع والطرح، ثم توصلوا إلى عمليات الضرب والقسمة، ولكنهم، شأن غيرهم من الشعوب القديمة، جهلوا الصفر.

وكانوا يجرون عمليات الضرب على أساس الجمع، فعلى سبيل المثال، إذا أرادوا ضرب 5×6، فإنهم يجرونها كالتالي:

العمود الأيسر

العمود الأيمن

1

5

2

10

4

20

8

40

يضعون تحت العمود الأيمن (5)، وتحت العمود الأيسر (1)، ثم يضاعفون الرقمين، فيصيرا 10 و 2، ثم يكررون عملية التضعيف على الرقمين الجديدين، فيصيرا 20 و 4، ثم يضاعفونهما، فيصيرا 40 و 8، ثم عندئذ، يتبين لهم أن هناك مجموعة أرقام في العمود الأيسر تساوي رقم المضروب فيه، أي 2+4= 6، ويقابلهما، في العمود الأيمن، 10+20= 30، إذاً يكون 5×6= 30.

مثال آخر:             11 × 14

العمود الأيسر

العمود الأيمن

14

1

28

2

56

4

112

8

حيث نجد في 1، 2، 8، ما يساوي 11، ويقابلها تماماً 14+28+112 ومجموعها 154 فيكون 11 × 14 = 154

والمضاعفة تكون لأي من رقمي الضرب، فيمكن إجراء المسألة السابقة كالتالي:

العمود الأيسر

العمود الأيمن

11

1

22

2

44

4

88

8

نجد 2 + 4 + 8 = 14

يقابلها 22 + 44 + 88 = 154

وأما القسمة: فكانت تجرى عكس عملية الضرب، أي أنها كانت تعتمد على مضاعفة المقسوم عليه حتى يتعادل مع القاسم، فتجرى قسمة 154÷14 بأعداد الجدول السابق، ثم جمع ما يقابل مجموع 154، أي 1 + 2 + 8 = 11، فيكون ذلك هو خارج القسمة.

ولتوضيح الفكرة نقدم مثالاً آخر: 539÷49

العمود الأيسر

العمود الأيمن

49

1

98

2

196

4

392

8

نجد أن مجموع 49 + 98 + 392  = 539، فيكون مجموع الأرقام المقابلة لها (1 + 2 + 8 = 11) هو خارج القسمة.

عرف المصريون، أيضاً، مساحة الدائرة، وبعض الأشكال الهندسية الأخرى، وأحجام المكعب، ومتوازي المستطيلات، والأسطوانة. وهذه أهرامهم، ومبانيهم، الباقية بعد آلاف السنين، تشهد ببراعتهم في الرياضيات، وعرفوا أيضاً نظرية فيثاغورس، المتعلقة بالمثلث قائم الزاوية، والمتواليات العددية، والهندسية ، وعرفوا أيضاً الكسور، واتبعوا في جمع الكسور، وضربها، وقسمتها، الطريقة نفسها، التي اتبعوها مع الأعداد الصحيحة.

وقد عُثر على بردية مهمة، يسميها الباحثون بردية رند الرياضية (أو كراسة أحمس)، وهي ترجع إلى عام 1991 - 1786 ق.م، وتتضمن مجموعة من الأمثلة النموذجية لمسائل حسابية، وبها جدول يبين نتائج قسمة العدد 2 على المقامات الفردية من 3 إلى 101 في تفصيلات تشير إلى صحة النتائج، التي توصلوا إليها، مع جداول تتضمن نتائج قسمة الأعداد من 1 إلى 9 على العدد 10 معبراً عنها بالكسر ذي بسط الواحد الصحيح، مستهدفاً من ذلك غرضين، أولهما: حفظ نتائج القسمة في كسور مجردة وثانيهما: تقديم مسائل عملية، تستطيع عقلية التلميذ أن تسايرها بعد تقديم البرهان على صحة النتائج (أُنظر ملحق بردية رند الرياضية "كراسة أحمس"). ومن أمثلة ذلك المسألة الرابعة في بردية رايند:

قسّم سبعة أرغفة على عشرة رجال، بحيث يأخذ كل رجل 2/ 3 و 1/ 30

البرهان: اضرب         

والحل هو:

1

2

4

8

المجموع 10 يقابل 7 أرغفة، وهذا صحيح وهنا تظهر، مرة ثانية، طريقة المصريين في الضرب عن طريق الجمع.

مثال آخر: كمية وسُبعها يضافان معاً فيصبحان 19 فما هي الكمية؟

الحل:  نفرض أن الكمية     7

فسبعها يساوي               1

المجموع = 7+1=          8

نقسم المجموع الحقيقي على المجموع المفترض فيصير ، ونضاعفه سبع مرات، أي نضربه في 7، فيكون الناتج:

أي أن الكمية المطلوبة هي

ومما ينبغي ملاحظته أن المصريين اشتقوا علامات الكسور من أسطورة دينية عندهم، تحكى أن الإله ست، إله الشر، قطع عين الإله حورس، إله المصريين المحبوب (ابن الإله أوزورويس، إله العدل والعالم السفلي، والإلهة إيزيس المشهورة) إلى أجزاء متفرقة، ثم جمعها إله الطب تحوت وأعادها سليمة مرة أخرى، فوجد أن مجموع أجزائها.

ثم بحث عن الجزء الباقي، وأضافه. فتعلم المصريون الكسور من ذلك. وكانوا يفضلون أن يكون البسط هو رقم 1 في معظم الأحوال، فكانوا إذا أرادوا كتابة كتبوها أي .

يمكن إجمال النتائج المهمة فيما يتعلق بالمصريين القدماء والأعداد والحساب فيما يلي:

أ. أجمعت المصادر القديمة على أن علم الحساب، والهندسة المترتبة عليه، من وضع المصريين، وإن كان المؤرخ يوسيفوس اليهودي يرى أن إبراهيم ( (جاء بالحساب من كلديا (أي من أرض الجزيرة العربية إلى مصر). وليس ببعيد أن يكون الحساب، وغيره، قد جاء إلىمصر من كلديا أو غيرها.

ب. حرصت الدولة المصرية، منذ إرساء دعائمها، على استخدام عدد معين من الموظفين والكتبة ذوي الخبرة، يتولون مسح الأرض الزراعية، وتقدير كمية المحاصيل، وتحديد الضرائب عليها، وتحصيلها، وحساب إيراد الدولة، ونفقاتها، فضلاً عن تعيين المهندسين، الذين يتولون منشآتها، وعمائرها، فكان ذلك حافزاً على نشأة علوم المساحة، والهندسة والحساب، ورقيها.

ج. يسَّر للرياضيات المصرية سبيل التقدم عاملان:

(1) عامل قديم

وهو اهتداء المصريين إلى تصوير رموز مفردة بسيطة، عبروا بها عن العشرات، ومضاعفاتها، إلى المليون، منذ أوائل عصورهم التاريخية. وذلك على خلاف ما جرى عليه أغلب أصحاب الحضارات الأخرى، المعاصرة لهم، أو جاءوا بعدهم، والذين اعتادوا على أن يعبروا عن مضاعفات العشرات بكلمات هجائية، تتكون كل منها من عدد من الحروف، والمقاطع الصوتية، خلال عصور طويلة من التاريخ.

(2) أما العامل الآخر

فهو تعدد المشكلات الحسابية، والمساحية، التي استمرت تشغل الكتبة المصريين، خلال مسح الحدود الزراعية، ومساحاتها، عند بيعها، وتأجيرها، وتقسيمها، باسم الدولة، وعند تقدير الضرائب عليها، وعلى محاصيلها. ثم تعدد المشكلات الهندسية، التي استمرت تشغل المهندسين والفنيين، عند تصميم المنشآت المعمارية الضخمة الكثيرة.

د. كانت براعتهم، في الحساب، دافعاً لعمل التقاويم، ونشأة علم الفلك، الذي تتطلبه هذه التقاويم. ولا بد أن المصري القديم أولى بعض اهتمامه إلى النجوم والكواكب، ومع معرفة الزراعة، أصبح من اللازم معرفة مواعيد البدء في الاستعداد لمواسم الزراعة. وبدأوا تقسيم السنة إلى ثلاثة فصول، في كل واحد منها أربعة شهور، أولها: فصل ارتفاع النيل، وفيضانه وانحساره، وثانيها: فصل الربيع، وهو فصل الزرع، وكان ظهور طائر الوقواق بشرى بمقدم الربيع، ولذا قدَّسوا هذا الطائر. وثالثها: فصل الحصاد. وكانت عدة كل شهر، من شهورهم، ثلاثين يوماً، لأن هذا العدد هو أقرب الأعداد السهلة إلى طول الشهر القمري، الذي يبلغ تسعة وعشرين يوماً ونصف يوم. وكانوا يضيفون، بعد آخر الشهر الثاني عشر، خمسة أيام، حتى تتفق السنة، في الحساب، مع فيضان النهر، ومع مواقع الشمس. واختاروا، لبدء السنة، اليوم الذي يصل فيه النيل، أي ابتداء الفيضان، الذي تتوقف عليه حياة البلاد، والذي كانت تبزغ فيه، فوق الأفق، مع إشراقة الشمس، في وقت واحد، النجمة سوتيس (أي الشعرى) رمزإيزيس. ولمَّا كان التقويم المصري يجعل السنة 365 بدلاً من 365 ؛ فقد ترتب على ذلك ازدياد الفرق بين شروق الشمس، وبزوغ الشعرى ليكمل يوماً تاماً، في كل أربع سنين .ولم يصحح المصريون هذا الخطأ قط، حتى جاء فلكيو الإسكندرية اليونانيون، فأصلحوه، بأمر يوليوس قيصر، في عام 46 ق.م، وذلك بإضافة يوم، بعد كل أربع سنين.

جدير بالملاحظة أن المصريين توصَّلوا إلى اختراع الساعة المائية، منذ زمن بعيد، وكانوا يقولون إن الإلهتحوت"، هو الذي أنعم عليهم، وهداهم إليها. وأقدم الساعات الموجودة لدينا يرجع عهدها إلى أيام الفرعون تحتمس الثالث، وهي الآن في متحف برلين، وتتكون من لوح خشبي، مقسم إلى ستة أقسام، تمثل ست ساعات، وفوقه لوح خشبي آخر مستعرض، وقد وضع بحيث ينعكس ظله على اللوح الخشبي الأول، ويتحرك الظل، مع تواصل النهار.


 



[1] ويمثل هذا النظام الأعداد من خلال مجموعات يتكون كل منها من عشرة. ولنفترض أنك تود إحصاء الهللات أو القروش التي جمعتها. فبدلاً من عدها واحدة واحدة، يمكن عدها باستخدام مجموعات من 10، أي تضعها في ربط من 10، ومن ثم يكون ترتيب الربط في مجموعات بحيث توضع 10 منها في كل مجموعة كما هو موضح في الرسم. كم هللة لدينا؟ يمكن أن نجيب على النحو التالي: لدينا مجموعتان في كل واحدة منها 10 ربط، وفي كل ربطة 10 هللات = 2 (10 10) = 200، و 4 ربط في كل منها 10=4   10=40، إضافة إلى هللات منفردة. أي لدينا ما مجموعه 200+ 40+ 80 = 248 هللة.

[2] ذكر أن تشارلز ديكنز يصف استخدام تلك العصى، متهكماً: `منذ زمن بعيد، عمدت الحكومة إلى استخدام طريقة بدائية في إجراء الحسابات، وإمساك الدفاتر، هي طريقة عصا العد، فكأنها رجعت إلى عهد روبنسن كروزو، حين كان يسجل أعداد الأيام، على أرض جزيرة نائية. وهكذا، رغم وجود أعداد هائلة من المحاسبين، وخبراء المراجعة، ظل الروتين الرسمي يميل إلى استخدام العصى القديمة، كما لو كانت شيئاً مقدساً لا يجوز الاستغناء عنه. وفي عهد جورج الثالث، أظهر كثير من المثقفين سخطهم من هذا الأمر، قائلين إنه طالما لدينا الأوراق والأقلام، فمن المكابرة الاستمرار في التمسك بتقاليد بالية.

[3] الخط الديموطيقي: هو صورة متطورة من الكتابة الهيروغليفية في مصر القديمة، وهو صورة أبسط وأسرع في الكتابة.

[4] العدد النسبي: هو العدد الذي يمكن التعبير عنه على شكل أ/ب حيث أ، ب عددان صحيحان، ب لا يساوي صفر، وحاصل القسمة عدد صحيح أو كسر عشري متناه. والأرقام التي لا يمكن التعبير عنها على هيئة كسر تسمى أعداد لانسبية، فمثلاً يمكن كتابة ط (باي) على شكل كسر عشري بقيمة تقريبية  3.14159 غير أن الكسر يستمر بصورة غير محددة، وكذلك الجذر التربيعي للعد 2.

[5] يكاد ينعقد الإجماع على أن أرشميدس هو أعظم علماء العصور القديمة. وهو صاحب قاعدة الأجسام المغمورة في السوائل المشهورة والتي يقال إنه اكتشفها وهو يستحم فخرج عارياً وهو يصيح: وجدتها وجدتها! كما ينسب إليه اختراع جهاز المرايا الذي أحرق به الأسطول الروماني وهو يحاصر ميناء سرقطة. وقتله جندي روماني عقب اقتحام المدينة.